浏览夏幼男教授CV,你会发现其科研之路和其他纳米大牛,如杨培东、戴宏杰等,有一定的不同之处。他们都是国内顶尖学府本科毕业,然后来到美国TOP 10高校、跟随名教授,博士和博后期间灌几篇Science,Nature,然后进入美国名校独立从事科研。相比而言,夏幼男教授的科研之路更加曲折一些。本科毕业后也没有立即去美帝。后来去了美国,前几年也没发什么好文章。虽然前期发展不顺,但不鸣则已,一鸣惊人。如今,夏幼南教授的H-index高达186,超过所有的纳米界华人教授。
夏课题组以溶液相纳米材料的合成而闻名,特别是他们开创的笼结构(Nanocage)贵金属纳米材料。本期内容将分三个部分介绍夏幼南教授在纳米笼方面的研究工作。
正文:
1. Nanocage的合成:
推荐综述:

13年的这篇AM综述详细介绍了Nanocage的合成。Nanocage生成的核心原理是:电化学置换反应(Galvanic Replacement)。简言之就是一种金属离子氧化另一种金属。把一根铜棒插入硝酸银溶液中,铜棒被氧化,溶液变蓝。如下图2所示:
图 2

对于纳米级别的颗粒而言,该原理同样适用。早在2002年的Nano Letters中,夏幼南教授课题组报道以Ag nanocube为模板,以HAuCl4为氧化剂,首次合成出Au Nanocage。具体过程分析如下图3、图4:
图 3

图 4

Step 1:表面Ag原子失去电子,被氧化为Ag离子,表面形成空穴。溶液中的Au离子则在Ag Nanocube表面得到电子还原为Au原子,并吸附在Ag Nanocube表面形成合金。形成合金的Ag原子则不再被氧化。这一过程被称为合金化过程。
Step 2:Nanocube内部的Ag原子继续被氧化成Ag离子,从而形成中空结构的Nanobox。Ag原子被完全氧化后,表面Au的不断沉积和扩散以修复初期形成的空穴。
Step 3:如果继续加入HAuCl4,表面合金成分的中Ag原子被进一步氧化成Ag离子,同时Nanobox表面出现空穴,逐渐转化为Nanocage。最后Nanocage塌陷成为Nanoparticles。这一过程称为去合金化过程。
Nanocage的组成与结构调控:
a. 初始Ag Nanocube的大小觉得了最终Au Nanocage的尺寸。采用不同价态的Au离子能够调节Au Nanocage的壁厚(价态越低,壁厚越厚)。
b. 晶面的选择性:不同晶面的表面能不同,导致合金化过程中开孔位置各异。通过引入配体(PVP)能够改变晶面的表面能。正是通过对开孔位置的精准控制,很多唯美结构的Nanocage得以实现,如下图5所示。
图 5

c. Galvanic Replacement与其他合成方法并用。研究发现单纯Galvanic Replacement方法并不能够很好的应用于Pt/Pd Nanocage的合成。由于Pt原子之间的结合能高于Pt与Pd的结合能,导致Pt Nanocage不能生成,如下图6所示:
图 6

如果将Galvanic Replacement方法与共还原法连用,则可以有效的合成出Pt Nanocage,如图7所示:
图 7

除了结合共还原法,还可以与柯肯达效应效应等方法结合以合成各种形貌和维度的Nanocage,如下图8、图9所示:
图 8

图 9

Nanocage的形成原理简单,合成方法看似更简单。但看完下面这篇Nature Protocol(图10),其实一点也不简单:
图 10

这篇Nature protocol什么也没发现,只是详细描述了实验过程。看完这篇文章,小编终于明白当初为什么死活重复不出来了。文中描述的精细程度叹为观止。很多平时实验过程中完全意识不到的小细节都成为了可控合成的关键,比如:搅拌子的大小、搅拌子的清洁程度、试剂的型号甚至批号、取样的方式、样品保存时间、甚至是表征的时限。纳米合成真是个细致活。所以建议各位从事纳米合成的小伙伴们,再怎么认真也不为过。
Nanocage之所以能成为夏教授的重点研究材料,是因为其在各个领域的成功应用。主要分为两个方面:催化应用和生物应用(重点)。
2. Nanocage的催化应用:
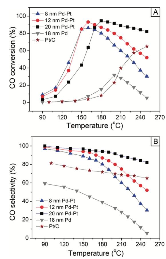
早期催化应用中,他们选择以简单的模型催化反应作为探针(硝基苯的还原等),系统比较Au基Nanocube、NanoBox和Nanocage的催化活性(Nano Lett. 2010, 10, 30-35)。随着研究元素体系的丰富,Pt、Pd基Nanocage开始在催化中展露头角。2011年,他们发现Pt/Pd合金Nanocage在PROX(Preferential Oxidation of CO in Excess Hydrogen)反应中表现出优异的反应活性(Acs Nano,2011,5,8212)。具体催化活性如下图11所示:
图 11

2015年,他们又在Science(Science, 2015, 349, 412)报道合成出原子级厚度的Pt/Pd合金Nanocage(合成方法有所改变),在ORR中表现出高活性和稳定性。结构表征如下图12:
图 12

总结而言,催化对于Nanocage不太像是一种应用,而像一种表征手段。相比而言 Nano cage 在生物方面的应用则更为广泛,也似乎更有前景。
3. Nanocage的生物应用:
Nanocage(主要为 Au Nanocage)的所有应用都是基于LSPR现象(Localized Surface Plasmon Resonance)。因为LSPR效应,Au Nanoparticles能够吸收可见光,而Au Nano cage则可以吸收近红外光(700 – 900 nm)。吸收光后如果发出荧光,则可以用来成像。如果吸收的光转化成热,则可以实现光热治疗(针对癌症)。如果在在Nanocage表面接上具有热相应的聚合物,可能够实现药物的控释。具体介绍如下:
a. Au Nanocage用于成像:原理有两种,一是三光子荧光成像。Au Nanocage因为LSPR效应吸收光(消光系数大),光子辐射跃迁则可以发出荧光用于成像。而三光子荧光成像的优点是没有了热效应,如下图13所示。二是光声成像。其中Au Nanocage因为吸光能力强,可以成为很好的造影剂,如下图14所示。
图 13

图 14

b. Au Nanocage用于光热治疗:近年来,肿瘤的光热动力学疗法开始流行。该治疗方法要求吸光材料能够高效吸收近红外(人体组织对近红外光的吸收能力弱)。而Au Nano cage正好满足这一要求,并将光高效转化为热,从而杀死肿瘤细胞。如下图15所示:
图 15

c.药物控释:Au Nanocage是中空结构,而且表面有孔。夏教授将具有温度响应的聚合物接到Nanocage表面,并将癌症药物至于Nanocage的孔内。当Nanocage到达肿瘤细胞,通过红外照射,Nanocage吸光放热,导致Cage表面的聚合物收缩,药物从孔中释放,如下图16所示:
图 16

纳米笼合成的科学原理简单,但可控合成却是个技术活。这样看来做纳米合成的人更像是个传统工艺匠人。合成难应用更不易。从催化到生物医学,夏幼男教授进行了多方面的尝试。但如何走向应用,走向大众的日常生活,任重道远。