用户名:  密码:   
网站首页即时通讯活动公告最新消息科技前沿学人动向两岸三地人在海外历届活动关于我们联系我们申请加入
栏目导航 — 美国华裔教授专家网最新消息社区报道
关键字  范围   
 
《Science》深度报道:《Nature》常温超导论文撤稿事件的前因后果
来源:The Intellectual | 2022/9/27 13:49:45 | 浏览:2111 | 评论:0
2022年9月26日,Science深度报道了Nature常温超导论文撤稿事件的前因后果

 导  读
2020年10月14日,Nature 发表的一篇首次实现 “室温超导” 的封面论文引发轰动。2022年9月26日,在所有论文作者都不同意撤稿的情况下,Nature 编辑部撤掉了这篇论文。
过去两年,超导研究者、中国科学院物理研究所副研究员罗会仟对此事件保持高度关注。论文刚发表时,他曾向《知识分子》表示,此次实验的数据 “有点出奇的好”,“不仅有电阻数据、磁化数据、Raman光谱数据,这么高压力下能做的测量几乎都做了”。
今天,罗会仟对这一撤稿事件做了详细回顾,详解论文实验数据的不透明和物理学者的再分析和论战如何导致了论文的撤稿。
撰文 | 罗会仟(中国科学院物理研究所)
●                  ●                   
2022年9月26日, Nature 撤稿两年前刊发的论文 “碳氢硫化物中室温超导电性”。至此,在科研界闹的沸沸扬扬的 “室温超导” 事件告一段落。
值得注意的是,同一天,Science深度报道了此次撤稿事件的前因后果,由资深编辑 Eric Hand 执笔,采访了该事件的几位当事人 [1]。报道题目直接引用了质疑声音代表人物 Van der Marel 的一句原话:“Something is seriously wrong.”
鉴于此次撤稿事件对科学界的巨大影响,本文以Science的报道内容及已发表的相关论文为依据,介绍一下该事件的来龙去脉。有兴趣的读者,欢迎详细阅读文末的参考文献。
1
撤稿早有伏笔?
超导现象最早于1911年由荷兰莱顿大学的H.K. Onnes研究团队发现——金属汞在4.2 K以下电阻突然消失为零,Onnes将其命名为 “超导”,寓意“超级导电”(图1左)。随后的百余年时间里,各类超导材料不断被发现,目前已知的超导材料有成千上万种,覆盖单质金属、合金、金属间化合物、过渡金属硫族化物/磷族化物甚至有机化合物等 [2]
严格来说,判断一个材料是否属于超导体,必须有两个独立的电磁特性判据:1. 是否具有绝对零电阻;2. 是否具有完全抗磁性。后者由德国科学家Meissner等发现,又称为Meissner效应,即磁场下超导体有完全抗磁响应,其内部磁感应强度B为零,对应的磁化率χ为-1。
《Science》深度报道:《Nature》常温超导论文撤稿事件的前因后果《Science》深度报道:《Nature》常温超导论文撤稿事件的前因后果
图1 超导体的零电阻效应和磁场下的行为(来自《超导“小时代”》)
超导材料对外界磁场有不同响应,可以简单分为两类。绝大部分超导体属于第二类,它们在某些磁场-温度区间(称之为“混合态”)体现出“部分抗磁性”(即磁化率不到-1),仅在很低温度且很弱磁场下才会有“完全抗磁性”,所以在很多情况下验证超导电性的存在,并不一定要求χ=-1(尽管此时才能被称为“超导态”),但必须独立测量到足够强的抗磁信号(χ为负值)。对于这类超导体而言,即使在部分抗磁的混合态下,其零电阻效应也能够保持住,直到磁场足够强达到上临界场时,才会彻底被破坏恢复到有电阻的“正常态”(图1右),所以是否具有完全抗磁状态,对超导体在零电阻状态下的应用影响不大。
实验上,零电阻的测量相对容易实现,而抗磁性的测量则相对困难一些,比如高压环境下有很多的附属装置带来很大的背景信号,薄膜或纳米颗粒等材料的总量很少导致信号太弱等,部分有机或含水等抗磁物质的材料会带来假信号等,因此大部分超导现象的发现都是以零电阻效应为主,抗磁效应为辅[3]。一些超导研究论文为了获得首发权,初始时仅有零电阻证据,而在后续补发抗磁信号证据,也是常见的。
超导材料因其绝对零电阻和完美的抗磁特性等特殊物理性质,几乎在所有电和磁相关的领域都有巨大的应用价值。超导本质上是微观电子的配对相干凝聚,是一种宏观量子现象,在量子器件方面也有许多重要用途。超导物理的研究让人们认识到物质中复杂相互作用出现的层展现象,可能有的超越了传统理论框架,对基础物理的发展有重要推动作用。正是如此,超导在物理学前沿一直受到广泛关注,而寻找更加好用的超导材料,摆脱超导应用的低温环境限制,是科学家一直以来的梦想。能否实现室温超导材料,也是领域内最大的挑战之一。
目前,常压下的超导临界温度记录,是1993年发现的Hg-Ba-Ca-Cu-O体系, 超导临界温度Tc为134 K,该材料在高压下的Tc可提升到165 K(图2)[4]。人们还尝试把元素周期表的单质几乎都压了一遍,普遍发现Tc可进一步提升,比如单质Ca的Tc在高压下可以达到29K,远超常压下的单质Tc记录(即Nb的Tc=9 K)[5]。因此高压是提高超导温度的重要途径,也是探索室温超导的最佳方案之一。需要特别指出的是,于物理学家而言,室温是有明确定义的,即300K,约相当于27℃。实际生活中比较舒适的 “室温” 大致是15℃-25℃,也就是北方冬天供暖标准,和夏天空调建议温度。
《Science》深度报道:《Nature》常温超导论文撤稿事件的前因后果《Science》深度报道:《Nature》常温超导论文撤稿事件的前因后果
图2 各类超导体发现的年代和临界温度,插图为典型的材料结构(来自《中国科学》[6])
理论上预言,金属氢就极可能是室温超导体,但是前提是要在百万级大气压(100 GPa以上)的极端高压下合成。如此高的压力,需要借助世界上最硬的物质——金刚石来实现,在一对磨平端面的金刚石形成 “对顶砧” 再使劲加压。由于氢本身十分活泼、易燃易爆,而且在高压下会发生 “氢脆” 现象——因为氢元素渗入金刚石而导致硬度突然降低碎裂。
金属氢的实验,从一开始就是巨大的挑战,也誉为是高压领域的 “圣杯”,历经80余年都未能拿下 [7]。2016年,英国爱丁堡大学E. Gregoryanz等人在325 GPa获得了氢的一种 “新固态”,认为可能是金属氢,论文发表在Nature [8]。2017年,美国哈佛大学的 R. P. Dias 和 I. F. Silvera 宣布在495 GPa下实现了金属氢,他们观测氢在压力不断增加过程中,从透明氢分子固体,到黑色不透明的半导体氢,最终到具有金属反光的金属氢,论文发表在 Science [9]
正当业界一片欢呼,期待Dias和Silvera进一步测量金属氢是否有室温超导电性时,他们却在实验过程不小心打碎了金刚石,后面也没再重复实验。Dias不再重复实验的原因也很简单,当时他博后期满,正忙着找工作,而且论文已经被Science接收了。随之而来的,是一片质疑声,近500 GPa的高压技术虽然很难,但国际上仍有几个研究组是可以做到的,但他们却没有重复出来金属氢的实验结果。
更令人难以置信的是,这篇论文的关键证据之一——金刚石对顶砧里的金属氢照片,是用iPhone摄像头拍的(图3),显得极其不专业。据知情人士透露,在圈内科学家反复追问下,Dias承认 “金属氢” 的实验成功率并不高,可能也就那么一两次获得了“有效”的实验数据。科学家们有理由怀疑最终得到的 “金属反射” 信号可能来自高压腔体内的金属垫片,而不是金属氢本身,作者后来也发文更正了光电导的数据(图4)。金属氢是否真的能实现室温超导,继续是一个未解谜团。
《Science》深度报道:《Nature》常温超导论文撤稿事件的前因后果《Science》深度报道:《Nature》常温超导论文撤稿事件的前因后果
图3 用iPhone摄像头拍摄的“高压下氢状态”,495 GPa为金属氢
《Science》深度报道:《Nature》常温超导论文撤稿事件的前因后果《Science》深度报道:《Nature》常温超导论文撤稿事件的前因后果
图4 “金属氢”的Science论文更正
Dias的这篇令人充满疑问的论文,也为后来的室温超导撤稿事件埋下一个伏笔。
2
室温超导发表即遭质疑
既然在金属氢中实现室温超导非常困难,是否可以另寻思路?
其实科学家早就意识到了,一些氢的化合物有可能不需要那么高的压力,就能实现金属化甚至很高温度的超导。因为其内部由于元素间化学键的存在,会产生足够大的 “化学压力”,如果化学压力刚好与外部压力是同等正向效应,就不再需要那么高的外部压力,实验也相对容易成功。
不过,新的困难也出现了,那就是在高温高压下,氢几乎可以和绝大部分元素形成化合物,而且结构和物性都非常复杂难以预测 [10,11]。在实验开始之前,先要依赖于理论筛选出合适的氢化物,并大致知道需要多大的压力才能超导,最好能预测出该化合物的Tc,否则靠 “瞎猫碰见死耗子” 的模式去探索的话,高昂的实验成本、极具挑战的实验技术和大量的时间精力消耗都让科学家难以承受。
幸运的是,对于二元氢化物,一些数值计算软件就能给出较为准确的结构预测,进而计算出材料的基本物性。中国的吉林大学物理学院开发的CALYPSO结构搜索软件就是重要代表 [12],中国科学家据此预言出一系列的金属氢化物超导体,并给出可能的Tc,其中H-S化合物可能实现80 K甚至204 K的超导电性 [13,14]
果不其然, 在2014年底德国马普化学研究所的 A. P. Drozdov 和 M. I. Eremets 就宣布在硫氢化物中发现190 K 超导零电阻现象,对应压力为150 GPa。在历经8个多月的不断质疑、调查、重复实验、积累数据之后,论文终于在2015年8月17日发表于Nature,此时他们已经获的了220 GPa下203 K的Tc历史新纪录,并且提供了抗磁信号的测量结果(图5)[15]。Eremets本人也经受住了业界的广泛质疑和讨论,相关的实验结果被中国、美国和日本等国科学家重复验证,H-S化合物的组分和结构也被确定,后续也不断有相关的论文发表。
《Science》深度报道:《Nature》常温超导论文撤稿事件的前因后果《Science》深度报道:《Nature》常温超导论文撤稿事件的前因后果
图5 Drozdov和Eremets发现高压下硫氢化物的超导电性[15]
此后,高压氢化物的超导研究变的如火如荼,人们陆续在Th、Pr、Nd、Y、La、Ce、Ba、Sn、Ca等元素与氢的化合物中找到了超导电性,Tc从几K到上百K都有(图6)[16]。其中中国科学家发现CaH6在160~180 GPa下达到了Tc=210 K [17,18],美国/德国科学家发现LaH10在188 GPa下达到了Tc=260 K [19,20]
理论计算对发现这些材料的高压超导电性起到了非常关键的指导作用。实验技术上的挑战来自于这些化合物需要在高温高压下合成并进一步加到极端高压再测量,用一束极小的激光打入金刚石对顶砧内部充分加热,一不小心就有爆炸的危险。在如此极端的条件下,面对金刚石内部那极少的一丁点儿样品,如何测定材料的化学结构,还要准确测量到电、磁、光、热等方面的物理性质,只能是难上加难。
《Science》深度报道:《Nature》常温超导论文撤稿事件的前因后果《Science》深度报道:《Nature》常温超导论文撤稿事件的前因后果
图6 各种高压氢化物超导体的发现时间、临界温度和对应压强[16]
2020年10月14日,Nature 发表了题为 “碳氢硫化物中室温超导电性” 的论文,第一作者为 E. Snider,通讯作者为 R. P. Dias,作者里还有著名的高压研究专家 A. Salamat [21]。是的,通讯作者就是2017年在Science发文声称实现金属氢的Dias,此时已在美国罗切斯特大学任助理教授。论文的关键结果是C-S-H三元体系在267 GPa左右可以实现288 K左右的超导电性,对应温度为15℃。超导材料的Tc,被首次突破到0℃以上,尽管距离室温300 K还有一步之遥,论文的题目已经大大方方用了 “室温超导” 字样。
从论文发表的信息来看,这篇文章从7月21日投稿,到9月8日接收,前后大约50天,在 Nature 的漫长审稿周期中算是非常快的。然而,和Dias发表的金属氢那篇论文一样,这篇文章从发表当天开始,就遭到了科学界广泛的质疑。实验物理学家普遍认为 “论文数据过于漂亮了,超导零电阻的转变非常陡峭,相关结果存在一系列的问题”,理论物理学家则觉得 “数据结果有悖基本物理”(图7)
《Science》深度报道:《Nature》常温超导论文撤稿事件的前因后果《Science》深度报道:《Nature》常温超导论文撤稿事件的前因后果
图7 2020年发表的C-S-H“室温超导”的Nature论文中关于零电阻和抗磁性的数据结果
3
论文详细实验数据后遭受更大质疑
质疑声音最大的,是加州大学圣地亚哥分校的理论物理学家 Jorge Hirsch,对了,就是他发明的H-index,指一名科研人员至多有h篇论文分别被引用了至少h次,常常被用来做科研人员影响力的排名,但他自己都反对用这个指数来评价论文。
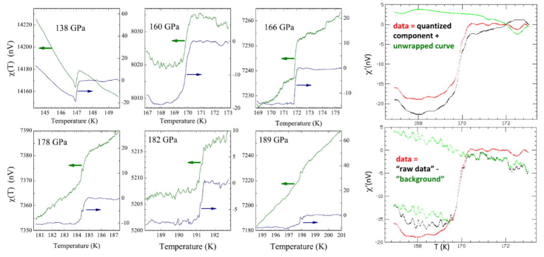
对于这篇论文,Hirsch指出,“问题很严重,不能听之任之,更不能用不同科学观点的借口来掩盖”。随后,以Hirsch为代表的一众理论家开启了“拍砖模式”,主战场设在预印本平台arXiv,因为文章内容和格式不需要经过严格同行评议就能快速发表。批评意见起初怀疑论文中磁性测量的结果不符合一些基本物理定理,后来发展到Hirsch直接指出关于抗磁磁化率的结果可能是 “人为捏造” 的,认为作者可能虚构了一条没经过实验检验的 “背景信号” 用来扣除所谓的数据背景,得到了抗磁信号作为超导电性的关键证据 [22-26]
确实,极端高压下的抗磁信号测量,相当于大白天阳光下去寻找天上的某一颗暗淡的星星一样困难。所以,Dias认为在高压领域,抗磁信号的得出,就是要扣除高压装置带来的极强背景信号,才能得到,他们这么做是业界“常规操作”。问题的关键在于,他们并没有在论文或补充材料中明确给出磁性测量的原始数据以及背景信号的测量结果。数据处理过程的不公开透明为这篇文章的结论蒙上了阴影。在Hirsch之后,作为回应,Dias等人在2021在arXiv张贴论文给出了磁化率的原始数据以及背景扣除方法(图8)[27]
《Science》深度报道:《Nature》常温超导论文撤稿事件的前因后果《Science》深度报道:《Nature》常温超导论文撤稿事件的前因后果
图8 Dias等人公布的磁化率背景扣除方法以及Hirsch等人的分析[27,30]
康奈尔大学的 B. Ramshaw 认为事实结果被越描越黑。但Hirsch的怀疑也并非空穴来风。实际上2009年在 Physical Review Letters 发表的一篇关于Eu高压超导的论文,在Hirsch的敏锐调查下就发现存在类似的磁化率数据处理不当问题,并于2021年12月23日经作者同意撤稿(图9)[28,29]。那篇文章的第一作者M. Debessai,正是负责 “C-S-H室温超导” 这篇Nature论文中磁测量的作者!
《Science》深度报道:《Nature》常温超导论文撤稿事件的前因后果《Science》深度报道:《Nature》常温超导论文撤稿事件的前因后果
图9 关于Eu高压超导电性的论文被PRL撤稿[29]
几个回合下来,这架吵的越来越激烈,Hirsch的论文题目里甚至出现了 “scientific fraud” 这种令科学家难以接受的词汇,连一贯宽松的arXiv预印本平台都看不下去了,在2022年2月一度禁止Hirsch登录该平台贴论文(图10)
《Science》深度报道:《Nature》常温超导论文撤稿事件的前因后果《Science》深度报道:《Nature》常温超导论文撤稿事件的前因后果
图10 Hirsch等人在arXiv发表了大量质疑氢化物高压超导的论文[22-26]
Hirsch的质疑文章有几篇正式发表在学术期刊上,其中最为深刻的就是和瑞士日内瓦大学的 Dirk van der Marel 在2022年9月15日发表的一篇长文 [30-32],他们对Dias等人所谓的原始数据进行了非常详细的分析,坚定地认为这些数据存在明显的 “人造痕迹”:所谓的 “超导信号” 来自于一个分段函数加连续函数的叠加,所谓的“背景信号”存在人为构造的非随机噪音,而所谓 “原始数据” 就是两者相加的结果(图8)!他们用了 “pathological”(不可理喻的)一词来形容Dias论文中的磁化数据结果。正是这篇论文,最终导致了Nature的编辑在2022年9月26日做出了撤稿的决定,即便论文的9位作者都不同意撤稿——此前从2021年8月30日起,Nature编辑部就已和作者多次沟通,显然作者团队并没有做出令人信服的回应(图11)
《Science》深度报道:《Nature》常温超导论文撤稿事件的前因后果《Science》深度报道:《Nature》常温超导论文撤稿事件的前因后果
图11Nature网站上关于“室温超导”论文结果与作者沟通过程[21]
4
撤稿并非结束,室温超导验证还需时间
Dias等人显然对撤稿的决定非常不服气,坚决认为他们的实验结果经受得住理论和实验的考验。论文的另一位作者,内华达大学的 A. Salamat 也指出撤稿的关键因素还是磁化率的数据问题,而零电阻的数据并没有问题,而后者恰恰是高压领域用来作为超导的主要证据,他对编辑部做出撤稿决定表示困惑和失望。他说,研究团队欢迎全世界的科学家到实验室去参观讨论,并且认为Hirsch等人作为理论家的指责带有偏见,因为部分实验结果已经在7月被重复出来了,并给出了一些可能的材料结构[33]【注:该论文部分实验结果的作者与此前Nature论文相同】
从实验的角度,Eremets等人对该项研究也表达了谨慎的态度,他觉得论文结果还有对的可能性,虽然他们在按照Dias团队提供的实验记录来重复结果的时候,试了6次,失败了6次。Eremets觉得对方还是“有所保留”,比如没有明确告知他们使用的碳单质是哪种(碳有许许多多同素异形体)。也有业内专家认为Dias等人一开始就是在 “豪赌”,毕竟此前在H-S体系已发现200 K以上的超导,那么在C-S-H体系发现更高温度的超导可能并不奇怪,实现起来可能就是技术和时间问题而已。由于论文并没有明确给出材料的结构和化学式,对于三元化合物,数值计算来预测其高压下稳定结构要困难得多。目前为止,科学家仍未找到从理论上可以明确预测出如此高Tc的C-S-H具体材料结构 [34]
Dias计划把磁性测量的原始数据以及背景扣除等信息添加进去,重新投稿这篇论文。他和Salamat甚至成立了一家公司叫做 “Unearthly Materials”,试图探索可商业化应用的室温超导材料(图12)。在今年夏天的学术会议上,Dias声称他又发现了一种新的氢化物超导体,是2020年关于C-S-H体系的延伸。Salamat自信满满地宣称他们正在开创 “高温超导的新纪元”。不过这回Eremets不太相信了:“怎么可能?怎么啥东西都能被他点石成金呢?”
《Science》深度报道:《Nature》常温超导论文撤稿事件的前因后果《Science》深度报道:《Nature》常温超导论文撤稿事件的前因后果
图12 罗切斯特大学R. P. Dias的个人简介
这件事情也并未因撤稿而彻底结束。鉴于 “室温超导” 的发现对科学界造成了巨大影响,也被评为 “2020年度十大进展” 等,还获得了一系列的奖项(图13),Hirsch对撤稿的决定并不是完全满意。他甚至到Dias的工作单位、资助机构乃至美国的科研主管部门都统统 “告状” 了一遍,Dias最后被迫下了 “休战书”,两人都同意不在arxiv等平台争论了。
《Science》深度报道:《Nature》常温超导论文撤稿事件的前因后果《Science》深度报道:《Nature》常温超导论文撤稿事件的前因后果
图13 Dias的主页显示“室温超导”的发现获得了多项荣誉
而曾经也被质疑但经受住了考验的Eremets,并没有因这次撤稿事件而对高压氢化物超导的研究放弃信心,他认为只要 “大胆假设加小心求证”,经受过同行的广泛质疑和时间的考验,真相迟早会浮出水面(图14)[35]
《Science》深度报道:《Nature》常温超导论文撤稿事件的前因后果《Science》深度报道:《Nature》常温超导论文撤稿事件的前因后果
图14 高压氢化物的超导探索实验现场
的确,这次事件在超导领域泛起的涟漪,何时会回归平静尚未可知,但人们对室温超导的孜孜不倦探索不会因此停滞。我们期待,常压下的室温超导能够实现,超导的大规模应用也终将到来!(图15)
 
《Science》深度报道:《Nature》常温超导论文撤稿事件的前因后果
图15 科幻电影《阿凡达》里的常压室温超导材料
 
 
参考文献:下滑动可浏览)
[1]https://www.science.org/content/article/something-seriously-wrong-room-temperature-superconductivity-study-retracted
[2] 罗会仟,《超导“小时代”:超导的前世、今生和未来》,清华大学出版社,2022.
[3] 罗会仟,周兴江,神奇的超导,《现代物理知识》24(02), 30(2012).
[4] A. Schilling et al. Superconductivity above 130 K in the Hg–Ba–Ca–Cu–O system. Nature, 363, 56(1993).
[5] M. Sakata et al. Superconducting state of Ca-VII below a critical temperature of 29 K at a pressure of 216 GPa. Phys. Rev. B 83, 220512(R)(2011).
[6] 罗会仟,高压室温超导电性的新进展,《中国科学:物理学、力学、天文学》51(11),11 117431(2021).
[7] I. Amato, Metallic hydrogen:Hard pressed. Nature 486, 174(2012,).
[8] P. Dalladay-Simpson et al. Evidence for a new phase of dense hydrogen above 325 gigapascals. Nature 529, 63(2016).
[9] R. P. Dias and I. F. Silvera, Observation of the Wigner-Huntington Transition to Metallic Hydrogen. Science 355,715(2017).
[10] 单鹏飞,王宁, 孙建平, 孙建平, 程金光. 富氢高温超导材料. 物理 50(04), 217(2021).
[11] 孙莹, 刘寒雨, 马琰铭. 高压下富氢温超导体的研究进展, 物理学报70,017407(2021).
[12] Y. Wang, J. Lv, L. Zhu, and Y. Ma, Crystal Structure Prediction via Particle Swarm Optimization, Phys. Rev. B 82, 094116(2010).
[13] Y. W. Li et al. The metallization and superconductivity of dense hydrogen sulfide. J. Chem. Phys. 140, 174712(2014).
[14] D. F. Duan et al. Pressure-induced metallization of dens(H2S)2H2with high-Tc superconductivity. Sci. Rep. 4, 6968(2014).
[15] A. P. Drozdov et al. Conventional superconductivity at 203 kelvin at high pressures in the sulfur hydride system. Nature 525,73(2015).
[16] X. Zhong, J. S. Tse, R. J. Hemley and H. Liu, Theory-directed discovery of high-temperature superconductivity in clathrate hydrides at high pressure. The Innovation 3(2), 100226(2022).
[17] Z. Li et al., Superconductivity above 200 K discovered in superhydrides of calcium, Nat. Commun. 13, 2863(2022).
[18] L. Ma et al. Experimental observation of superconductivity at 215 K in calcium superhydride under high pressures. arXiv.2103.16282(2021).
[19] A. P. Drozdov et al. Superconductivity at 250 K in lanthanum hydride under high pressures. Nature 569, 528(2019).
[20] M. Somayazulu et al. Evidence for Superconductivity above 260 K in Lanthanum Superhydride at Megabar Pressures. Phys. Rev. Lett. 122, 027001(2019).
[21] E. Snider et al. Room-temperature superconductivity in a carbonaceous sulfur hydride. Nature 586, 373(2020).
[22] J. E. Hirsch and F. Marsiglio, Absence of high temperature superconductivity in hydrides under pressure, arXiv:2010.10307.
[23] J. E. Hirsch, Faulty evidence for superconductivity in ac magnetic susceptibility of sulfur hydride under pressure, arXiv:2109.08517.
[24] J. E. Hirsch and F. Marsiglio, Flux trapping in superconducting hydrides under high pressure, arXiv:2104.03925.
[25] J. E. Hirscha and F. Marsiglio, Absence of magnetic evidence for superconductivity in hydrides under high pressure, arXiv:2103.00701.
[26] J. E. Hirscha and F. Marsiglio, Nonstandard superconductivity or no superconductivity in hydrides under high pressure, arXiv:2012.12796.
[27] R. P. Dias and A. Salamat, Standard Superconductivity in Carbonaceous Sulfur Hydride, arXiv:2111.15017.
[28] M. Debessai et al., Pressure-Induced Superconducting State of Europium Metal at Low Temperatures, Phys. Rev. Lett. 102, 197002(2009).
[29] M. Debessai et al., Retraction:Pressure-Induced Superconducting State of Europium Metal at Low Temperatures [Phys. Rev. Lett. 102, 197002(2009)] Phys. Rev. Lett. 127, 269902(2021).
[30] D. van der Mare and J. E. Hirsch, Room-temperature superconductivity | or not? Comment on Nature 586, 373(2020)by E. Snider et al. International Journal of Modern Physics B, 2375001.
[31] J. E. Hirsch and D. van der Marel, Matter Radiat. Extrem. 7, 048401(2022).
[32] J. E. Hirsch and D. van der Marel, Open data(2022), https://doi.org/10.26037/yareta:zegqbhauk5dm3mfvndtlrfmgg4.
[33] G. A. Smith et al., Carbon content drives high temperature superconductivity in a carbonaceous sulfur hydride below 100 GPa, Chem. Commun. 58, 9064(2022).
[34] T. Wang et al., Absence of conventional room temperature superconductivity at high pressure in carbon doped H3S, Phys. Rev. B 104, 064510(2021).
[35] M. I. Eremets et al., High-temperature superconductivity in hydrides:experimental evidence and details. arXiv:2201.05137.
相关栏目:『社区报道
23岁门外汉携ChatGPT,攻克60年数学猜想!陶哲轩:我们全走偏了 2026-04-27 [865]
996太轻松,002极限压榨!被AGI逼疯的硅谷天才,正在集体逃亡 2026-04-27 [788]
加州要变天?共和党州长候选人推出“三大重磅政策”,直击油价、税收、房价 2026-04-27 [816]
又一所大学突然倒闭,乔布斯30年前的预言成真了 2026-04-27 [806]
2026年突破奖揭晓!王虹、唐云清和张明嘉获奖,三位数学家均为北京大学校友 2026-04-27 [840]
研究:我国高校教师平均薪资,位列全球倒数第二 2026-04-27 [881]
东西问丨北约“不给力”?伊朗危机下的裂痕与美国单边转向 2026-04-27 [813]
《突发!美国吊销司马南绿卡!"反美斗士"遭驱逐,爱国生意彻底崩盘!》 2026-04-19 [1202]
快讯:中国队成功卫冕2026年第15届欧洲女子数学奥林匹克(EGMO)团体冠军 2026-04-19 [932]
洛加大“狼医”终认13项重罪被判11年牢刑须终生注册为性犯罪者 2026-04-19 [878]
相关栏目更多文章
最新图文:
:摄影师苏唐诗与寂寞百年的故宫对话6年,3万张照片美伦美奂 :大数据分析图解:2019中国企业500强 张梦然:英国惠康桑格研究所:人体内的微生物与出生方式有关 :美众议院将调查华裔部长赵小兰“利用职权为家族谋利“ :UCLA CCS 2019 Fall Quarter Lecture Series Overview 谭晶晶:美国科技界高度关注中国科技创新进展 :推荐:2019年底前中国高校重要学术论坛(10月 - 12 月) :黄奇帆:今后10年,中国经济将发生5个历史性变化
更多最新图文
更多《即时通讯》>>
 
打印本文章
 
您的名字:
电子邮件:
留言内容:
注意: 留言内容不要超过4000字,否则会被截断。
未 审 核:  是
  
关于我们联系我们申请加入后台管理设为主页加入收藏
美国华裔教授专家网版权所有,谢绝拷贝。如欲选登或发表,请与美国华裔教授专家网联系。
Copyright © 2026 ScholarsUpdate.com. All Rights Reserved.